2022年全國成人高考專升本《高等數學(二)》科目備考重點6:導數、微分及其應用
2022年浙江成人高考考試時間定于2022年10月15日和16日,準備報考專升本層次的考生,需參加政治、外語及專業基礎課三門必考科目的考試,成考幫考前輔導平臺提醒各位考生提前進行復習,科學備考。此外,成考幫考前輔導平臺為幫助各位考生更有效的復習,將逐步對各層次、各科目的復習重點進行整理發布,以供考生參考。本次更新內容為《2022年浙江成人高考專升本《高等數學(二)》科目備考重點6:導數、微分及其應用》,請考生注意。
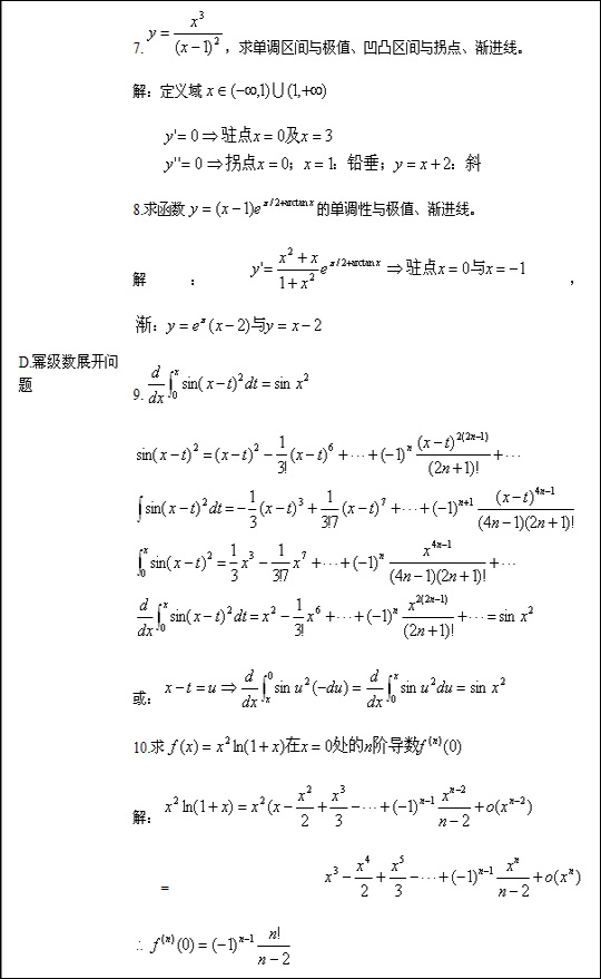
一、理論要求

二、題型與解法

溫馨提示:專升本《高等數學(二)》科目的考試時間是上午9時至11時30分,考試時間為150分鐘,滿分150分。
聲明:
(一)由于考試政策等各方面情況的不斷調整與變化,本網站所提供的考試信息僅供參考,請以權威部門公布的正式信息為準。
(二)網站文章免費轉載出于非商業性學習目的,版權歸原作者所有。如您對內容、版權等問題存在異議請與本站聯系,我們會及時進行處理解決。
本文地址:http://www.erosgems.com/shuhuaer/10507.html













晉公網安備14010902001678號